光脉3535灯珠:以精准光谱赋能全场景应用
作者:WLJ 时间:2026-03-07
光脉3535灯珠:以精准光谱赋能全场景应用
光脉 3535 系列灯珠 —— 涵盖220nm~4000nm波长,以陶瓷封装的稳定基因、精准匹配的光谱特性,成为全球机器视觉光源模块厂商的优选方案,在工业检测、智能终端、特种传感等领域,构建起全方位的应用生态。
一、太阳模拟器的定义:
太阳或太阳模拟器是一种人工系统,旨在复制自然阳光的光谱分布和照度。
有不同类型的太阳光模拟器,每种都有旨在适应特定应用的技术规格。各种类型通常按使用的曝光类型--- flashed, continuous, and pulsed。
太阳光模拟器是一种人工模拟太阳辐射特征的测试设备,在空间飞行器环境模拟试验、气象科学研究、太阳能电池特性测试、材料老化试验、农林培育、医疗保健等领域具有广泛应用。以前,研究人员常将氙灯、卤钨灯等气体灯作为太阳光模拟器光源,这些灯存在发光效率相对低、长时间稳定性差等缺点,制约了太阳光模拟器的发展。
LED在科学上的突破,使光源从标准的卤素灯和氙气灯上转移到LED上。在太阳光模拟技术的新时代,固态照明占据了中心舞台。LED提供灵活的光谱,以及远远超过其灯泡的使用寿命。
光脉3535灯珠:以精准光谱赋能全场景应用
光脉 3535 系列灯珠 —— 涵盖220nm~4000nm波长,以陶瓷封装的稳定基因、精准匹配的光谱特性,成为全球机器视觉光源模块厂商的优选方案,在工业检测、智能终端、特种传感等领域,构建起全方位的应用生态。
一、太阳模拟器的定义:
太阳或太阳模拟器是一种人工系统,旨在复制自然阳光的光谱分布和照度。
有不同类型的太阳光模拟器,每种都有旨在适应特定应用的技术规格。各种类型通常按使用的曝光类型--- flashed, continuous, and pulsed。
太阳光模拟器是一种人工模拟太阳辐射特征的测试设备,在空间飞行器环境模拟试验、气象科学研究、太阳能电池特性测试、材料老化试验、农林培育、医疗保健等领域具有广泛应用。以前,研究人员常将氙灯、卤钨灯等气体灯作为太阳光模拟器光源,这些灯存在发光效率相对低、长时间稳定性差等缺点,制约了太阳光模拟器的发展。
LED在科学上的突破,使光源从标准的卤素灯和氙气灯上转移到LED上。在太阳光模拟技术的新时代,固态照明占据了中心舞台。LED提供灵活的光谱,以及远远超过其灯泡的使用寿命。

太阳光在全球空气质量1.5(AM 1.5G)参考光谱下正式定义。在AM 1.5G下,一个太阳等于100 mW/cm²的辐照度。**电工委员会 (IEC) 在 IEC 60904-9 中描述了穿透大气的自然阳光的特性;因此,任何行业标准的太阳模拟器都必须达到或超过这些准则规定的标准。
如您所见,太阳光参考光谱的很大一部分落在SWIR区域内,但不**于SWIR区域, LED(365-1750 nm)成为任何下一代太阳能模拟系统的关键组件。
根据IEC 60904-9,太阳模拟器的整体性能通过三个指标进行测量和评级:
●光谱与自然阳光匹配:太阳模拟器还必须与AM 1.5G光谱紧密匹配,特别是在300至1200nm之间。对于*****别的太阳模拟器,每个波长范围内的光谱方差不应超过±12.5%。
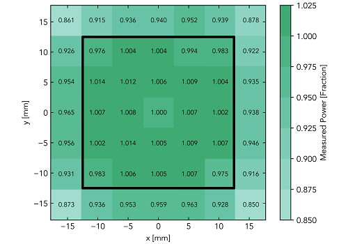
●照明区域辐照度的均匀性:任何基板的照射,例如典型的200mm²太阳能电池,也必须在表面上保持±2%的均匀性。
●辐照度的时间变化:同时,辐照度的时间稳定性是***后一个重要因素。在仿真过程中,辐照度功率必须尽可能少地波动。因此,在仿真过程中进行测量以检测***大和***小辐照度水平。这给出了辐照度在时间上的稳定性的相当**的想法。

LED作为太阳光模拟光源的主要优点是:
●光谱灵活性:提高光谱匹配精度,并允许再现各种真实世界的辐照条件;
●脉冲驱动灵活性:LED 提供可自由调节的脉冲宽度;
●内置热管理:一些LED封装具有铜散热器或陶瓷底座,可安全地消散多余的热能;
●更长的使用寿命:LED 可节省维护成本,减少更换停机时间,并***大限度地减少重新校准时间;
使用LED太阳模拟器的行业
●航空 航天地面测试
●汽车
●生物
●护肤品、化妆品
●防晒霜研发
●环境科学
●材料降解
●光化学催化
●光伏(PV)生产和测试
●太阳能电池
●塑料、油漆、清漆、清漆和其他涂料
●质量**
●纺织业
●光致变色实验室
●耐候性测试
二、光脉LED灯珠的三大技术支撑
光脉 LED灯珠系列之所以能适配多元场景,源于其在封装工艺、光谱设计、集成适配三大维度的核心优势:
光谱精准匹配,场景无缝适配:涵盖从 220 纳米(nm)的深紫外(UV)到4000 nm远红外(IR)光谱波长。内部精选物料:核心芯片选择,波段半波宽,电压筛选等严格把控,让每盏灯光谱方差严格在标准范围内。
稳定可靠,适配严苛环境:陶瓷基板 + 金锡共晶焊接工艺,散热效率较普通 PCB 基板提升 30%,杜绝高温断丝隐患;满足工业、汽车等领域的高可靠性要求,使用寿命超 5 万小时。
集成便捷,支持快速迭代:3.53.5 3.8mm 标准封装尺寸,适配自动化 SMT 生产线;支持 1000 颗起订,72 小时极速打样、7 天批量交付,完美匹配光源模块厂商的快速研发需求,可灵活定制单波长、双波长组合方案。
合作共赢:携手光脉,共启红外视觉新征程
作为深耕 LED 陶瓷灯珠封装领域的实力企业,深圳市光脉电子有限公司始终以技术创新为引擎,以品质可靠为基石,为全球机器视觉行业提供高性能、高性价比的红外光源解决方案。
如果您正在寻找适配工业检测、智能终端、自动驾驶等场景的LED灯珠产品,或是需要定制专属光谱方案,欢迎联系我们:
联系人:光脉温磊俊
联系电话:18028715086
企业定位:陶瓷定制化灯珠优选供应商
服务承诺:72 小时极速打样、7 天批量交付、5 年品质保障
光脉 3535,,以专业之力成就合作共赢。期待与您携手,在LED的浪潮中,共同书写更精彩的行业篇章!
太阳光在全球空气质量1.5(AM 1.5G)参考光谱下正式定义。在AM 1.5G下,一个太阳等于100 mW/cm²的辐照度。**电工委员会 (IEC) 在 IEC 60904-9 中描述了穿透大气的自然阳光的特性;因此,任何行业标准的太阳模拟器都必须达到或超过这些准则规定的标准。
如您所见,太阳光参考光谱的很大一部分落在SWIR区域内,但不**于SWIR区域, LED(365-1750 nm)成为任何下一代太阳能模拟系统的关键组件。
根据IEC 60904-9,太阳模拟器的整体性能通过三个指标进行测量和评级:
●光谱与自然阳光匹配:太阳模拟器还必须与AM 1.5G光谱紧密匹配,特别是在300至1200nm之间。对于*****别的太阳模拟器,每个波长范围内的光谱方差不应超过±12.5%。
●照明区域辐照度的均匀性:任何基板的照射,例如典型的200mm²太阳能电池,也必须在表面上保持±2%的均匀性。
●辐照度的时间变化:同时,辐照度的时间稳定性是***后一个重要因素。在仿真过程中,辐照度功率必须尽可能少地波动。因此,在仿真过程中进行测量以检测***大和***小辐照度水平。这给出了辐照度在时间上的稳定性的相当**的想法。
LED作为太阳光模拟光源的主要优点是:
●光谱灵活性:提高光谱匹配精度,并允许再现各种真实世界的辐照条件;
●脉冲驱动灵活性:LED 提供可自由调节的脉冲宽度;
●内置热管理:一些LED封装具有铜散热器或陶瓷底座,可安全地消散多余的热能;
●更长的使用寿命:LED 可节省维护成本,减少更换停机时间,并***大限度地减少重新校准时间;
使用LED太阳模拟器的行业
●航空 航天地面测试
●汽车
●生物
●护肤品、化妆品
●防晒霜研发
●环境科学
●材料降解
●光化学催化
●光伏(PV)生产和测试
●太阳能电池
●塑料、油漆、清漆、清漆和其他涂料
●质量**
●纺织业
●光致变色实验室
●耐候性测试
二、光脉LED灯珠的三大技术支撑
光脉 LED灯珠系列之所以能适配多元场景,源于其在封装工艺、光谱设计、集成适配三大维度的核心优势:
光谱精准匹配,场景无缝适配:涵盖从 220 纳米(nm)的深紫外(UV)到4000 nm远红外(IR)光谱波长。内部精选物料:核心芯片选择,波段半波宽,电压筛选等严格把控,让每盏灯光谱方差严格在标准范围内。
稳定可靠,适配严苛环境:陶瓷基板 + 金锡共晶焊接工艺,散热效率较普通 PCB 基板提升 30%,杜绝高温断丝隐患;满足工业、汽车等领域的高可靠性要求,使用寿命超 5 万小时。
集成便捷,支持快速迭代:3.53.5 3.8mm 标准封装尺寸,适配自动化 SMT 生产线;支持 1000 颗起订,72 小时极速打样、7 天批量交付,完美匹配光源模块厂商的快速研发需求,可灵活定制单波长、双波长组合方案。
合作共赢:携手光脉,共启红外视觉新征程
作为深耕 LED 陶瓷灯珠封装领域的实力企业,深圳市光脉电子有限公司始终以技术创新为引擎,以品质可靠为基石,为全球机器视觉行业提供高性能、高性价比的红外光源解决方案。
如果您正在寻找适配工业检测、智能终端、自动驾驶等场景的LED灯珠产品,或是需要定制专属光谱方案,欢迎联系我们:
联系人:光脉温磊俊
联系电话:18028715086
企业定位:陶瓷定制化灯珠优选供应商
服务承诺:72 小时极速打样、7 天批量交付、5 年品质保障
光脉 3535,,以专业之力成就合作共赢。期待与您携手,在LED的浪潮中,共同书写更精彩的行业篇章!
推荐新闻

